[로이슈 전여송 기자] 자생한방병원 척추관절연구소(소장 하인혁)는 반월상연골손상 치료에 한의통합치료가 객관적인 효과를 보인다는 연구 결과를 26일 발표했다.
자생한방병원에 따르면 반월상연골손상이란 무릎에 가해지는 충격을 흡수해 관절을 보호하는 반달 모양의 반월상연골이 손상돼 통증을 일으키는 질환이다. 반월상연골이 손상되면 무릎 관절 전체에 뻐근한 통증이 나타나고 관절 잠김이나 부종과 같은 증상으로 보행에 어려움을 겪기도 한다. 젊은 층에서는 스포츠 활동 중 발이 고정된 상태에서 무릎이 비틀어지는 경우 등 외부 충격에 의해 주로 발생하지만, 중장년 세대에게는 퇴행성 변화로 인해 나타나는 편이다.
증상을 방치할 경우 연골의 손상 범위가 넓어지면서 퇴행성 무릎 관절염으로 쉽게 이어질 수 있기 때문에 보존치료 외에도 관절경 절제술과 같은 수술적 치료가 활발하게 이뤄진다. 그러나 반월상연골은 관절의 안정성과 직결되는 만큼, 수술로 인한 후유증이 향후 무릎 건강에 부정적인 영향을 끼칠 수 있다는 문제가 제기되고 있다. 이에 의료계에서는 연골의 손상을 최소화하고 수술 없이도 회복이 가능한 다양한 치료에 관심이 집중되고 있다.
이번 연구를 통해 자생한방병원 척추관절연구소는 반월상연골손상에 대한 비수술 한의통합치료의 객관적 효과 및 임상적 유효성을 측정했다. 연구에 따르면 추나요법과 침·약침치료, 한약 처방 등으로 구성된 한의통합치료를 진행한 결과 반월상연골손상 환자들의 무릎 통증 및 장애가 개선됐고 삶의 질 또한 향상된 것으로 나타났다. 해당 연구는 SCI(E)급 국제학술지 ‘Medicine(IF=1.6)’ 2월호에 실렸으며 자생한방병원 척추관절연구소 이준행∙송진영 한의사가 공동 제1 저자로 참여했다.
먼저 연구팀은 2015년 6월부터 2020년 6월까지 전국 4개 지역(강남∙대전∙부천∙해운대) 자생한방병원에서 반월상연골손상으로 한의통합치료를 받은 입원환자 86명을 대상으로 연구를 진행했다. 치료 유효성 분석을 위해 후향적 차트 리뷰와 설문조사가 이뤄졌다.
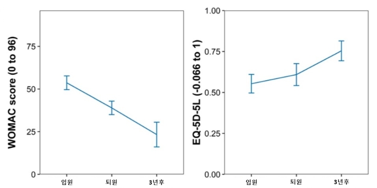
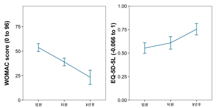
연구팀은 평가 지표로 ▲숫자평가척도(Numeric Rating Scale, NRS) ▲골관절염지수(Western Ontario and McMaster Universities Arthritis Index, WOMAC) ▲삶의 질 척도(EuroQol 5-Dimension, EQ-5D) 등을 활용했다. NRS(0~10점)는 숫자가 클수록 통증이 심함을 나타내며, WOMAC(0~96점)은 무릎 통증과 뻣뻣함 등으로 겪는 활동의 어려움을 평가하는 척도로, 점수가 높을수록 일상생활이 힘들다는 것을 의미한다. 또한 삶의 질 척도를 나타내는 EQ-5D(-0.066~1점)는 1에 근접할수록 삶의 질과 건강 상태가 이상적임을 뜻한다.
연구 결과, 한의통합치료 후 모든 평가 지표에서 긍정적인 변화가 관찰됐다. 환자들의 평균 NRS는 치료 전 중등도 통증 수준의 6.1에서 경미한 통증인 3.6으로 절반 가까이 낮아졌고, WOMAC은 53.67에서 치료 후 38.97로 회복했다. 통증과 장애의 정도가 개선되며 삶의 질도 향상됐다. EQ-5D의 경우 0.55에서 0.61로 높아졌다.
아울러 퇴원 후 약 3년이 지난 시점에 진행된 설문을 토대로 분석한 장기추적관찰 결과에서도 호전 양상은 지속된 것으로 나타났다. 특히 WOMAC은 23.33점까지 낮아지면서 퇴원 후에도 호전세가 장기적으로 이어지는 것이 확인됐다. EQ-5D도 0.75로 상승하며 높은 수준을 유지했다. 함께 이뤄진 치료만족도 조사에서는 전체 환자의 94.4%가 현재 상태가 개선됐다고 응답했으며, 그 이유로는 통증 감소(64%)와 빠른 일상 복귀(28%)가 가장 많았다.
논문의 공동 제1 저자인 이준행∙송진영 한의사는 “이번 연구를 통해 한의통합치료가 반월상연골손상을 효과적으로 치료함과 동시에 삶의 질 개선에 장기적으로 긍정적인 영향을 미친다는 사실을 확인할 수 있었다”며 “앞으로 한의통합치료가 반월상연골손상 치료에 효과적인 치료법으로 자리 잡기를 바란다”고 말했다.
전여송 로이슈(lawissue) 기자 arrive71@lawissue.co.kr
자생한방병원, 반월상연골손상 치료에 한의통합치료 효과 입증
기사입력:2024-02-26 18:35:09
<저작권자 © 로이슈, 무단 전재 및 재배포 금지>
로이슈가 제공하는 콘텐츠에 대해 독자는 친근하게 접근할 권리와 정정ㆍ반론ㆍ추후 보도를 청구 할 권리가 있습니다.
메일:law@lawissue.co.kr / 전화번호:02-6925-0217
메일:law@lawissue.co.kr / 전화번호:02-6925-0217
주요뉴스
핫포커스
투데이 이슈
투데이 판결 〉
베스트클릭 〉
주식시황 〉
| 항목 | 현재가 | 전일대비 |
|---|---|---|
| 코스피 | 3,953.76 | ▼72.69 |
| 코스닥 | 876.81 | ▼21.36 |
| 코스피200 | 557.98 | ▼10.40 |
가상화폐 시세 〉
| 암호화폐 | 현재가 | 기준대비 |
|---|---|---|
| 비트코인 | 153,134,000 | ▼115,000 |
| 비트코인캐시 | 753,000 | ▼3,500 |
| 이더리움 | 5,152,000 | ▼11,000 |
| 이더리움클래식 | 25,460 | ▼350 |
| 리플 | 3,471 | ▲1 |
| 퀀텀 | 2,930 | ▼16 |
| 암호화폐 | 현재가 | 기준대비 |
|---|---|---|
| 비트코인 | 153,218,000 | ▼107,000 |
| 이더리움 | 5,155,000 | ▼10,000 |
| 이더리움클래식 | 25,460 | ▼340 |
| 메탈 | 705 | ▼1 |
| 리스크 | 306 | ▼1 |
| 리플 | 3,475 | ▲3 |
| 에이다 | 875 | ▲2 |
| 스팀 | 131 | 0 |
| 암호화폐 | 현재가 | 기준대비 |
|---|---|---|
| 비트코인 | 153,100,000 | ▼130,000 |
| 비트코인캐시 | 752,000 | ▼1,000 |
| 이더리움 | 5,155,000 | ▼10,000 |
| 이더리움클래식 | 25,440 | ▼330 |
| 리플 | 3,475 | ▲4 |
| 퀀텀 | 2,935 | ▼34 |
| 이오타 | 218 | 0 |











