[로이슈 전여송 기자] 최근 출생아 수가 깜짝 반등했다는 소식이 전해졌다. 인구절벽이라는 표현이 실감 날 정도로 그간 역대 최소치를 기록해 왔기에 반가운 소식이었지만, 이러한 상승세를 유지하기 위해선 많은 노력이 필요할 것으로 전망된다. 이에 정부와 지자체는 결혼과 출산에 대한 각종 지원 정책을 활발히 펼치고 있으며, 기업에서도 적극적으로 나서는 분위기다.
건강한 출산을 위해 긴 시간을 인내하는 산모의 건강에 대한 중요성도 높아지고 있다. 건강 관리 지원금부터 운동, 영양관리 프로그램 등 다방면의 정책들이 시행되는 중이다. 하지만 만반의 준비를 함에도 어려움이 따르기 마련이고, 병원 치료가 필요한 상황이 생길 수도 있다. 특히 대중교통 이용이 어려운 임산부들은 휴가철 교통 대란이 발생하는 시기엔 교통사고 걱정이 앞설 수밖에 없다. 심각한 부상이 아닐지라도 태아의 건강에 대한 걱정, 불안 등의 정신적인 스트레스와 더불어 약물치료의 한계도 있기에 더욱 그렇다.
이러한 가운데 자생한방병원 척추관절연구소 경다현 한의사 연구팀은 교통사고를 겪은 임산부에 대한 한의치료의 유효성과 안전성을 SCI(E)급 국제학술지 ‘Medicine (IF=1.6)’에 논문을 발표했다고 밝혔다. 연구결과 침치료를 비롯한 한의치료를 받은 임산부 환자들의 통증과 기능은 크게 호전됐으며, 치료 만족도 또한 높게 나타났다.
경다현 한의사 연구팀은 지난 2018년 1월부터 2022년 4월까지 대전자생한방병원에 내원한 교통사고 환자 중 임산부 환자 126명의 데이터를 기반으로 한의치료의 효과를 분석했다. 치료 후 장기 추적관찰이 진행됐으며, 총 50명의 환자가 설문에 응했다.
우선 가장 많은 환자가 통증을 호소한 부위는 목과 허리였다. 환자들은 목과 허리를 1순위로 선택했으며, 두통, 무릎, 어깨 등의 통증이 뒤를 이었다. 이에 환자들의 체질과 세부 증상을 고려한 한의통합치료가 진행됐다. 대부분의 환자에게 침치료, 부항치료, 경피적외선 치료가 진행됐고, 그중 50% 이상의 환자가 추나요법을 비롯한 전침과 약침치료를 병행했다. 한약도 입원 및 외래환자에서 비슷한 비율로 처방됐다.
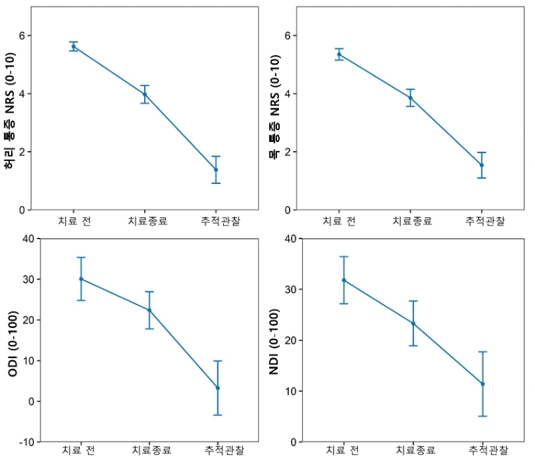
치료 종료 후 추적관찰 결과 목과 허리 통증을 평가하는 NRS(0~10), 기능적 상태를 측정하는 NDI(목, 0~100) 및 ODI(허리, 0~100) 등 각 평가 지표에서 모두 유의미한 개선효과가 관찰됐다. 목 통증 NRS는 치료 전 평균 5.35로 중증에 해당됐지만, 정상 수준인 1.54로 약 3분의 1 수준까지 감소했다. 허리 통증 NRS도 마찬가지로 평균 5.62에서 1.38로 크게 줄었다. 또한 NDI는 31.8에서 11.40으로 약 64%, ODI는 30.05에서 3.27로 89% 개선됐다. 삶의 질 변화를 평가하는 EQ-5D-5L에서도 통증을 비롯한 증상이 정상 수준에 가깝게 개선됨을 확인했다.
치료에 대한 만족도 또한 높게 나타났다. 치료만족도를 평가하는 PGIC 평가 진행 결과 86%의 환자들이 증상이 좋아졌다고 응답했다. 아울러 치료 후 일상생활이 더욱 편안해졌음을 느낀 환자는 98%에 달했다. 임신 기간 중 나타난 증상과 출산 후 신생아의 건강 문제 등을 조사한 결과에서도 일반적인 임신부의 비율과 유사했으며, 치료에 따른 유의미한 부작용은 발견되지 않았다.
자생한방병원 척추관절연구소 경다현 한의사는 “이번 연구를 통해 한의치료가 교통사고로 인한 임산부의 통증과 증상을 효과적으로 감소시키는 것을 확인했다”며 “앞으로 한의통합치료의 안전성에 대한 연구가 더욱 많이 진행돼 임산부 환자들의 건강 관리에 도움이 될 수 있기를 바란다”고 말했다.
전여송 로이슈(lawissue) 기자 arrive71@lawissue.co.kr
자생한방병원, 임산부 교통사고 환자 치료에 한의통합치료 유효성 및 안전성 확인
기사입력:2024-08-05 18:24:36
<저작권자 © 로이슈, 무단 전재 및 재배포 금지>
로이슈가 제공하는 콘텐츠에 대해 독자는 친근하게 접근할 권리와 정정ㆍ반론ㆍ추후 보도를 청구 할 권리가 있습니다.
메일:law@lawissue.co.kr / 전화번호:02-6925-0217
메일:law@lawissue.co.kr / 전화번호:02-6925-0217
주요뉴스
핫포커스
투데이 이슈
투데이 판결 〉
베스트클릭 〉
주식시황 〉
| 항목 | 현재가 | 전일대비 |
|---|---|---|
| 코스피 | 5,224.36 | ▲3.11 |
| 코스닥 | 1,149.44 | ▼14.97 |
| 코스피200 | 768.41 | ▲2.82 |
가상화폐 시세 〉
| 암호화폐 | 현재가 | 기준대비 |
|---|---|---|
| 비트코인 | 124,037,000 | ▼318,000 |
| 비트코인캐시 | 806,500 | ▼2,500 |
| 이더리움 | 3,988,000 | ▼9,000 |
| 이더리움클래식 | 15,440 | ▼140 |
| 리플 | 2,562 | ▼11 |
| 퀀텀 | 1,734 | ▼10 |
| 암호화폐 | 현재가 | 기준대비 |
|---|---|---|
| 비트코인 | 124,098,000 | ▼399,000 |
| 이더리움 | 3,992,000 | ▼8,000 |
| 이더리움클래식 | 15,470 | ▼90 |
| 메탈 | 505 | ▼2 |
| 리스크 | 243 | ▼1 |
| 리플 | 2,561 | ▼11 |
| 에이다 | 464 | ▼2 |
| 스팀 | 91 | ▲0 |
| 암호화폐 | 현재가 | 기준대비 |
|---|---|---|
| 비트코인 | 124,060,000 | ▼320,000 |
| 비트코인캐시 | 806,000 | ▼2,000 |
| 이더리움 | 3,989,000 | ▼9,000 |
| 이더리움클래식 | 15,450 | ▼100 |
| 리플 | 2,561 | ▼11 |
| 퀀텀 | 1,745 | ▼10 |
| 이오타 | 112 | ▼1 |











