
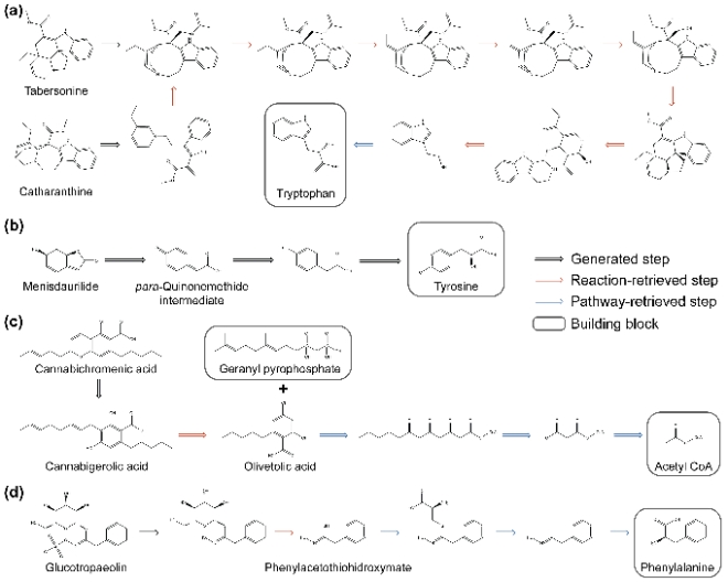
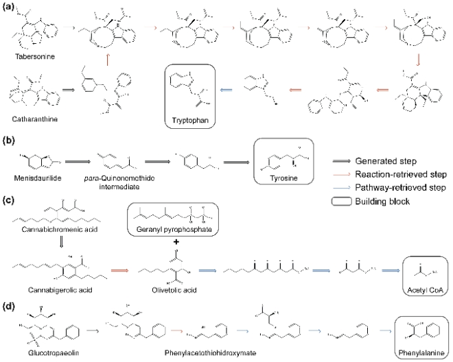
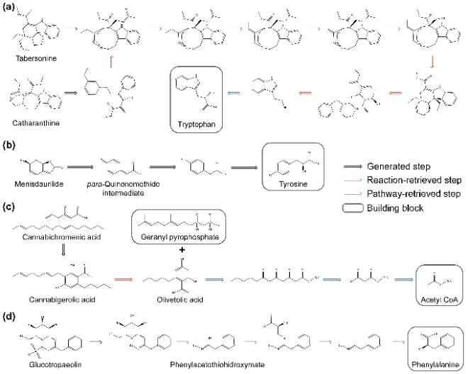
리드레트로(READRetro)를 활용해 예측한 천연물 생합성 경로. 천연물 생합성 연구에서 주목받고 있는 catharanthine, tarbersonine을 비롯한 다양한 천연물의 생합성 경로를 성공적으로 예측했다. 사진=KAIST
이미지 확대보기KAIST(총장 이광형)는 생명과학과 김상규 교수 연구팀과 김재철AI대학원 황성주 교수 연구팀의 공동연구를 통해 천연물 생합성 경로를 예측하는 딥러닝 모델을 개발하고 부산대학교 박정빈 교수 연구팀과 협업을 통해 관심있는 누구나 모델을 활용할 수 있도록 인터넷 웹사이트(readretro.net)를 구축했다고 14일 밝혔다.
천연물 활용 및 대량 생산을 위해서는 생합성 경로를 밝히는 것이 필수적이다. 하지만 복잡한 구조를 가진 많은 약용 천연물의 생합성 경로가 잘 밝혀져 있지 않아 현재는 식물로부터 직접 추출해 사용하고 있다. 생합성 경로 연구는 도전적이지만 이를 밝히고 생합성 효소를 찾을 수 있다면 천연물의 활용 가치를 증진할 수 있다.
식물 천연물 생합성 경로 연구의 첫 단계는 식물이 어떻게 물질을 합성하는지 그 경로를 역추적(역합성 경로를 제시)하는 것으로 시작된다. 공동연구팀은 딥러닝을 활용해 천연물의 역-생합성 경로를 예측하는 모델을 제시했다. 이번 연구에서 연구팀은 발전된 역합성 모델과 생화학적 직관을 결합해 성공적으로 천연물 생합성 경로 예측을 수행하는 인공지능 모델을 개발했다.
연구팀은 개발한 인공지능의 이름을 ‘역합성을 읽어내는 모델’이라는 뜻을 담아 ‘리드레트로(READRetro)’라고 명명했다. 이 모델은 천연물 역합성을 예측하는 인공지능 모델 중 최고의 성능을 보이는 것으로 확인되었고 이를 개별 연구자들이 쉽게 활용할 수 있도록 구현했다는 데 의미를 가진다.
김상규 교수는 “식물이 어떻게 복잡한 천연물을 만들 수 있게 되었는지 이해하는 기초 연구에서부터 천연물 기반 의약품을 대량으로 생산하기 위한 합성생물학 연구 등에 활용이 기대된다. 추후 합성 경로를 매개하는 효소를 예측하거나 거대 분자의 역합성 예측 정확도를 높이는 연구를 실시할 계획이다” 라고 말했다. 또한 김 교수는 “이번 연구는 2022년 KAIST 인공지능연구원에서 주최한 멜팅 팟(Melting pot) 세미나에서 저와 황성주 교수가 발제자와 토론자로 만난 인연으로 시작됐다. KAIST가 표방하는 융합이 생화학자와 전산학자의 힘을 합쳐 이끌어 낸 좋은 연구로 큰 의미를 갖는다고 생각한다”고 강조했다.
KAIST 생명과학과 김태인 석박사통합과정과 KAIST 김재철AI대학원 이슬 석박사통합과정이 공동 제1 저자로 참여한 이번 연구 결과는 국제 학술지‘뉴 파이톨로지스트(New Phytologist)'에 출판됐다. (논문명 : READRetro: natural product biosynthesis predicting with retrieval-augmented dual-view retrosynthesis).
한편 이번 연구는 카이스트 POST-AI, 한국연구재단, 과학기술정보통신부 등의 지원을 받아 수행됐다.
전여송 로이슈(lawissue) 기자 arrive71@lawissue.co.kr








