[로이슈 전여송 기자] 국내 연구진이 스핀트로닉스 소자 응용 가능성과 높은 전기적 분극, 낮은 스위칭 에너지 값 등 강유전 특성을 동시에 보이는 새로운 다기능 고효율 소자 연구를 통해 차세대 반도체 소재 개발의 단초를 제시했다.
스핀트로닉스란 기존 반도체가 전자의 흐름, 즉 전하만을 이용하는 반면 전자가 가진 전하와 스핀으로 인한 자성을 동시에 활용하는 기술이다. 강유전 특성이란 임계온도 이하에서 스스로 전기적 분극이 일어나는 물질로, 전기적 분극의 크기와 전기적 분극의 방향을 변화시키는 에너지 장벽의 크기가 강유전 특성을 결정하는 값이라 할 수 있다.
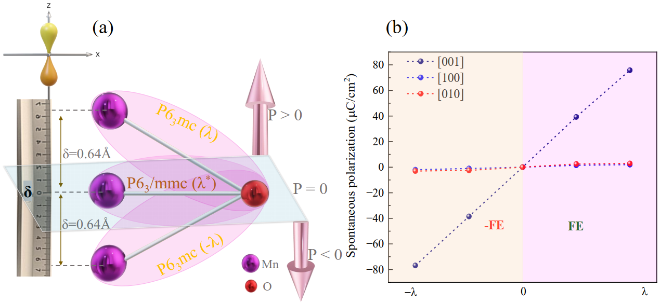
한국연구재단(이사장 홍원화)은 국립부경대학교 홍지상 교수 연구팀이 벌크 형태 산화망간(MnO)의 자기적·전기적 특성을 이론적으로 연구하여, 기존의 페로프스카이트 기반 물질보다 뛰어난 강유전 특성을 보일 가능성이 있음을 제시했다고 16일 밝혔다.
산화망간(MnO)란 망간과 산소로 이우러진 결정으로 대표적으로 암염구조(rocl salt)와 섬유아연광형태(wurtize)가 있는데, 본 연구에서는 망간과 산소로 이루어진 wurtize결정에 대해서 연구를 수행했다.
페로프스카이트 기반 물질은 통상 두 종류의 양이온과 하나의 음이온으로 이루어전 ABX3(A와B는 양이온, X는 음이온을 나타낸다. 예로서 BaTiO3 같은 물질이다.
최근 제시된 얼터마그넷은 반강자성물질의 한 형태로 기존 반강자성체와 비교하여 운동량 공간의 일부에서 전자들의 가지는 스핀분극 밴드가 갈라지는 현상을 보이는 특성이 있다.
얼터마그넷은 기존 반강자성 물질은 운동량 공간에서 전자들이 가지는 스핀업과 스핀다운 성분의 에너지가 완전히 겹쳐지는데 반해 얼터마그넷은 운동량 공간 일부에서 서로 에너지 밴드가 갈라지는 형태를 보이는 물질이다.
반강자성물질은 전자들이 가지는 스핀방향이 서로 반대로 향하고 있어 원자들의 자기모멘트는 가지고 있으나 물질 전체가 가지는 거시적 자화값(magnetization)은 없는 물질을 뜻한다.
스핀분극 밴드란 전자들은 두 개의 스핀성분을 가지는데 통상 스핀업과 스핀다운이라고 불리운다. 이러한 전자들이 운동량 공간에서 스핀상태에 따라서 에너지값이 서로 달라서 나타나는 전자구조다.
얼터마그넷의 스핀트로닉스 소자응용 가능성을 확인하기 위해 물질 합성 및 전자구조 특성 등 다양한 기초연구가 추진되고 있지만, 아직까지 강유전 특성은 밝혀지지 않았다.
연구팀은 제일원리 계산을 통해 벌크형태의 MnO 물질에서 구현되는 자기적, 전기적 특성을 연구했으며, 얼터마그넷이 강유전체 현상이 구현가능하다는 결과를 도출했다. 제일원리 계산이란 임의의 매개변수 없이 슈뢰딩거 방정식을 이용하여 모든 물리량들을 계산하는 방법이다.
또한 MnO 물질은 페로프스카이트 기반 물질보다 높은 전기적 분극, 낮은 스위칭 에너지 값을 보여 차세대 반도체 소재로의 활용 가능성을 발견했다. 연구팀은 앞으로 MnO 물질을 이용하여 스핀트로닉스, 강유전, 압전특성 등 상온에서 구현되는 고효율 자성체 물질의 제시 및 특성에 대한 이론적 연구를 추진할 계획이다.
홍지상 교수는 “이번 연구를 통해 다기능 소자로서 얼터마그넷의 가능성을 이론적으로 제시했다”라며 “이론 연구결과를 바탕으로 실재 소자합성 및 성능테스트 등 관련분야 연구활성화에 기여할 것으로 예상된다”고 밝혔다.
과학기술정보통신부와 한국연구재단이 추진하는 이공분야 중견연구 사업의 지원으로 수행된 이번 연구의 성과는 물리 분야 국제학술지 ‘머티어리얼스 호라이즌(Materials Horizons) ’에 1월 10일 게재되었다.
전여송 로이슈(lawissue) 기자 arrive71@lawissue.co.kr
국내 연구진, MnO 얼터마그넷의 고효율 강유전 소자 가능성 제시
기사입력:2025-01-16 21:30:01
<저작권자 © 로이슈, 무단 전재 및 재배포 금지>
로이슈가 제공하는 콘텐츠에 대해 독자는 친근하게 접근할 권리와 정정ㆍ반론ㆍ추후 보도를 청구 할 권리가 있습니다.
메일:law@lawissue.co.kr / 전화번호:02-6925-0217
메일:law@lawissue.co.kr / 전화번호:02-6925-0217
주요뉴스
핫포커스
투데이 이슈
투데이 판결 〉
베스트클릭 〉
주식시황 〉
| 항목 | 현재가 | 전일대비 |
|---|---|---|
| 코스피 | 5,583.90 | ▲490.36 |
| 코스닥 | 1,116.41 | ▲137.97 |
| 코스피200 | 831.22 | ▲74.43 |
가상화폐 시세 〉
| 암호화폐 | 현재가 | 기준대비 |
|---|---|---|
| 비트코인 | 105,477,000 | ▼31,000 |
| 비트코인캐시 | 669,500 | ▼1,000 |
| 이더리움 | 3,091,000 | ▲1,000 |
| 이더리움클래식 | 12,750 | ▲20 |
| 리플 | 2,074 | ▲9 |
| 퀀텀 | 1,352 | 0 |
| 암호화폐 | 현재가 | 기준대비 |
|---|---|---|
| 비트코인 | 105,586,000 | ▲34,000 |
| 이더리움 | 3,090,000 | ▼1,000 |
| 이더리움클래식 | 12,770 | ▲50 |
| 메탈 | 411 | ▲1 |
| 리스크 | 193 | ▼1 |
| 리플 | 2,075 | ▲9 |
| 에이다 | 400 | ▲1 |
| 스팀 | 83 | ▼0 |
| 암호화폐 | 현재가 | 기준대비 |
|---|---|---|
| 비트코인 | 105,440,000 | ▼60,000 |
| 비트코인캐시 | 669,000 | ▼1,000 |
| 이더리움 | 3,089,000 | 0 |
| 이더리움클래식 | 12,740 | ▲10 |
| 리플 | 2,073 | ▲9 |
| 퀀텀 | 1,357 | 0 |
| 이오타 | 99 | 0 |









